• Предмет: Математика
  • Автор: vanotver
  • Вопрос задан 3 года назад

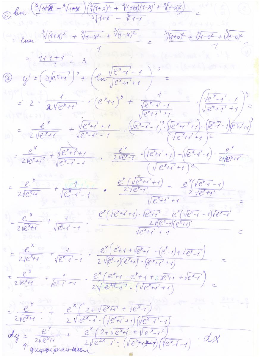
помогите пожалуйстааааааааааааааааа

Приложения:

yanaaleksandrov: лимит равен 3/2
yanaaleksandrov: взять производную и подставить 0
oganesbagoyan: подставить 0 , а это зачем ?

Ответы

Ответ дал: alfabetta
1
смотри приложенный файл
Приложения:

oganesbagoyan: дробь не меняется, если числитель и знаменатель одновременно умножать(разд) на одно и то же число Lim ≠ 3
Вас заинтересует