Ответы
Ответ дал:
1
Это где ж еще такое задают???????????????
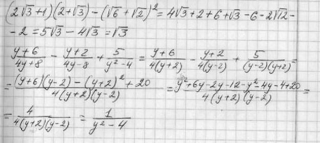
Приложения:

Вас заинтересует
2 года назад
2 года назад
2 года назад
2 года назад
7 лет назад
7 лет назад