Ответы
Ответ дал:
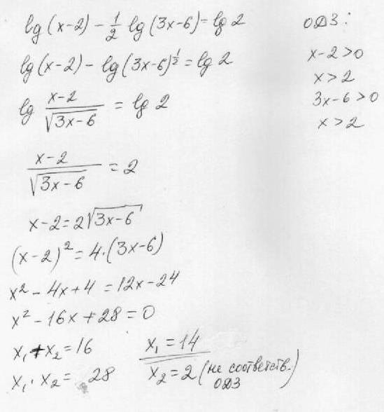
6
!!!!!!!!!!!!!!!!!!!!!!!!!!!!!!!!!!!!!
Приложения:

MESSI123451:
Спасибо)
Вас заинтересует
2 года назад
2 года назад
2 года назад
7 лет назад
7 лет назад
8 лет назад