срочно))
1) помогите, пожалуйста упростить:
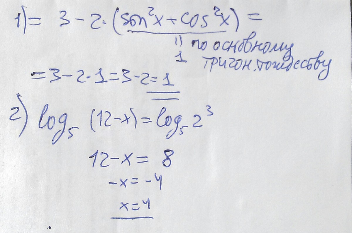
4-2sin^2x-1-2cos^2x
2) Какому промежутку принадлежит корень уравнения
log(осн.5) (12-x)=3log(осн.5) 2
-беск;0
0;4
4;20
20;+беск
Ответы
Ответ дал:
2
Второй пример надо смотреть, где у четверки квадратная скобка стоит. Решения в файле - удачи ))
Приложения:

Вас заинтересует
2 года назад
2 года назад
7 лет назад
7 лет назад
8 лет назад