• Предмет: Алгебра
  • Автор: sredhyachok
  • Вопрос задан 3 года назад

Помогите решить логарифмы!

Приложения:

Ответы

Ответ дал: NNNLLL54
1
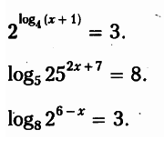
1)\; \; 2^{log_4(x+1)}=3\; ,\; \; ODZ:\; \; x+1\ \textgreater \ 0,\; x\ \textgreater \ -1\\\\2^{log_{2^2}(x+1)}=2^{log_23}\\\\2^{\frac{1}{2}log_2(x+1)}=2^{log_23}\\\\\frac{1}{2}log_2(x+1)=log_23\\\\log_2\sqrt{x+1}=log_23\\\\\sqrt{x+1}=3\\\\x+1=9\\\\x=8

2)\; \; log_525^{2x+7}=8\; ,\\\\Po\; osnovnomy\; svojstvy:\; \; 25^{2x+7}=5^8\\\\(5^2)^{2x+7}=5^8\\\\5^{4x+14}=5^8\\\\4x+14=8\\\\4x=-6\\\\x=-\frac{6}{4}=-\frac{3}{2}

3)\; \; log_82^{6-x}=3\\\\2^{6-x}=8^3\\\\2^{6-x}=2^9\\\\6-x=9\\\\x=-3

Вас заинтересует