Ответы
Ответ дал:
1
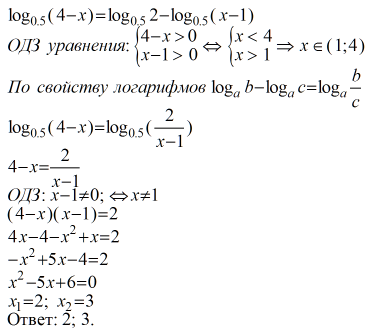
4-x>0⇒x<4 U x-1>0⇒x>1
x∈(1;4)
log(0,5)(4-x)+log(0,5)(x-1)=log(0,5)2
log(0,5)[(4-x)(x-1)]=log(0,5)2
(4-x)(x-1)=2
4x-4-x²+x-2=0
x²-5x+6=0
x1+x2=5 U x1*x2=6
x1=2
x2=3
x∈(1;4)
log(0,5)(4-x)+log(0,5)(x-1)=log(0,5)2
log(0,5)[(4-x)(x-1)]=log(0,5)2
(4-x)(x-1)=2
4x-4-x²+x-2=0
x²-5x+6=0
x1+x2=5 U x1*x2=6
x1=2
x2=3
Ответ дал:
1
*************************************
Приложения:
Вас заинтересует
2 года назад
2 года назад
2 года назад
2 года назад
7 лет назад
9 лет назад