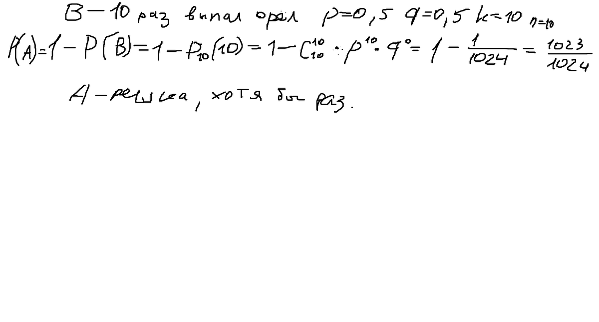
монета подбрасывается 10 раз. Х - число выпавших гербов. Чему равна вероятность того,что выпадет хотя бы одна решка? Чему равны среднее и дисперсия?
Ответы
Ответ дал:
1
формула бернулли если что
Приложения:


lonina96:
я показала точно такой же ответ преподавателю,сказала не правильно
Вас заинтересует
2 года назад
2 года назад
2 года назад
2 года назад
7 лет назад