• Предмет: Математика
  • Автор: mandrikavika
  • Вопрос задан 2 года назад

помогите решить очень срочно нужно! заранее спасибо
Спростити вираз
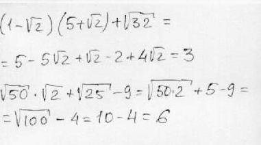
1)(1-под корнем2)(5+под корнем2)+под корнем32.
2) под корнем50 * под корнем2 + под корнем25-9

Ответы

Ответ дал: математик2011
1
**************************************
Приложения:

mandrikavika: 1 или 2?
математик2011: Это оба
Ответ дал: Zhiraffe
1
1) =5+кореньиздвух -5*кореньиздвух -2+4*кореньиздвух =3
2) =5*кореньиздвух *кореньиздвух +5-9=5*2-4=10-4=6

mandrikavika: это 1) или 2)
Zhiraffe: Сначала первый, потом второй )
Вас заинтересует