• Предмет: Алгебра
  • Автор: kishinetz1995
  • Вопрос задан 3 года назад

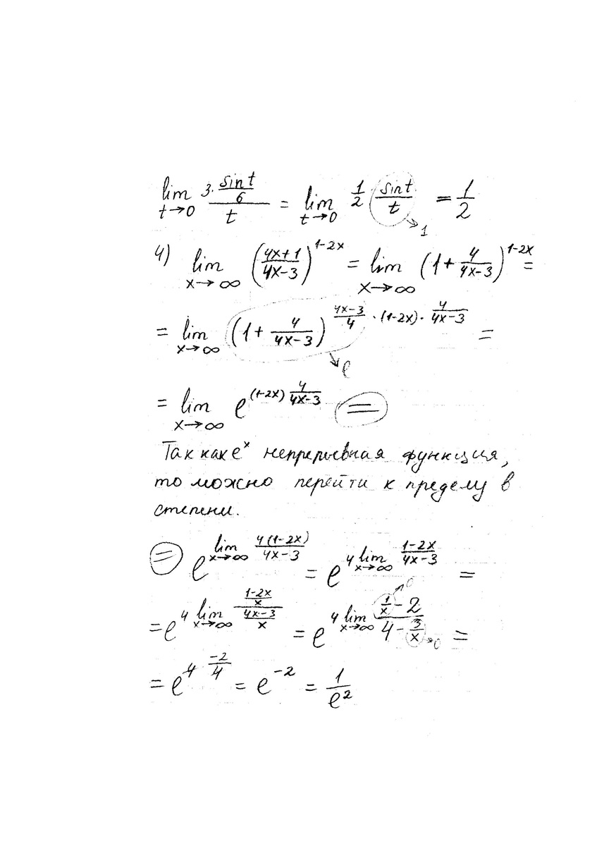
Знайти вказанi границi функцiй (без використання правила Лопiталля )

Приложения:

Ответы

Ответ дал: bearcab
0
Решения в приложениях
Приложения:
Вас заинтересует