• Предмет: Алгебра
  • Автор: noferon
  • Вопрос задан 3 года назад

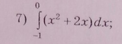
помогите решить плизззз

Приложения:

Ответы

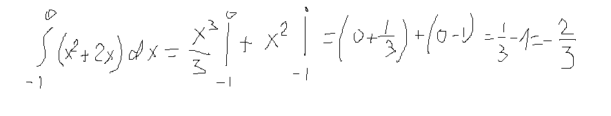
Ответ дал: математик2011
0
***********************
Приложения:
Вас заинтересует