• Предмет: Алгебра
  • Автор: noferon
  • Вопрос задан 3 года назад

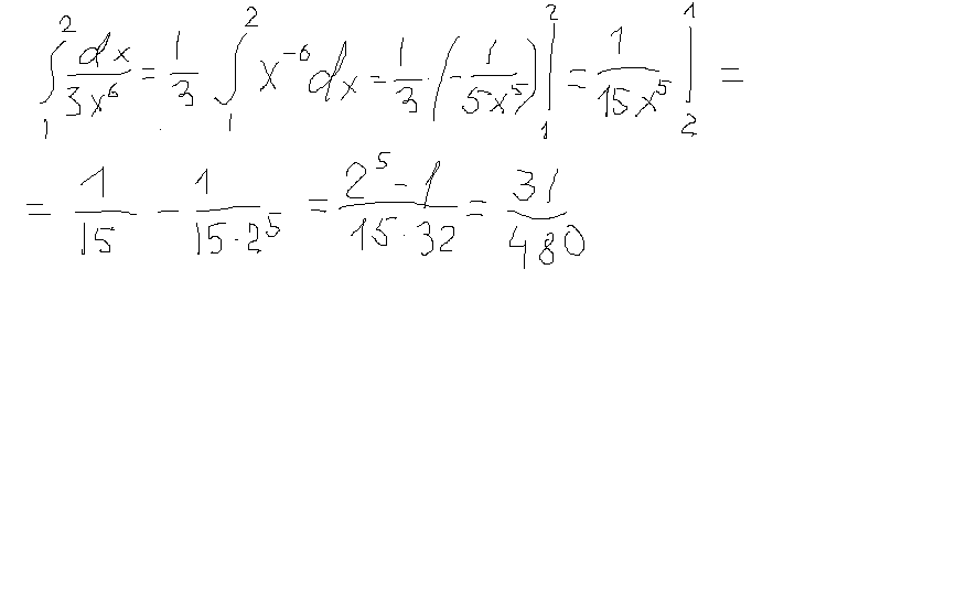
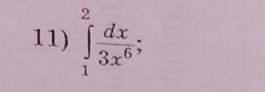
помогите плиззззззззззззз

Приложения:

Ответы

Ответ дал: математик2011
0
_______________________________
Приложения:
Вас заинтересует