Буду признателен(если ответите):
Приложения:

wangross:
На что именно?
Ответы
Ответ дал:
2
_______________________
Приложения:

Ответ дал:
0
В 4 задании ответ б
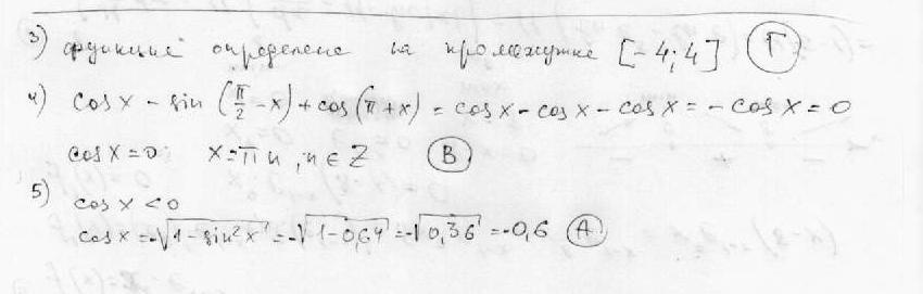
Решение
Cosx-Sin(П\2-X)+Cos (П+Х)=0
Cosx-Cosx-Cosx=0
-Cosx=0
x=П\2+Пn
Решение
Cosx-Sin(П\2-X)+Cos (П+Х)=0
Cosx-Cosx-Cosx=0
-Cosx=0
x=П\2+Пn
Вас заинтересует
2 года назад
2 года назад
2 года назад
2 года назад
7 лет назад