Ответы
Ответ дал:
1
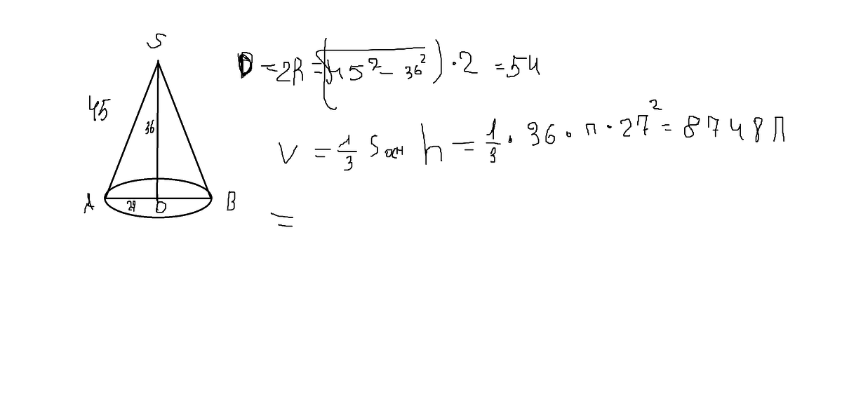
Если в ответе надо без пи указать, до домнож на 3,14
Приложения:

Вас заинтересует
2 года назад
2 года назад
2 года назад
7 лет назад
7 лет назад