Ответы
Ответ дал:
1
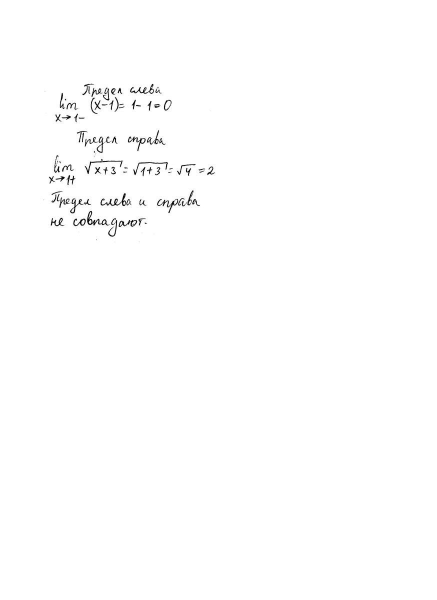
11.1 2) разрыв 1-го рода
Там скачок между левым и правым пределом к точке х=1. Этот скачок конечный. Смотри в приложении
11.2 2) разрыв 2-го рода
Здесь скачок бесконечный. Значит разрыв второго рода. При х=1 - функция не существует
Там скачок между левым и правым пределом к точке х=1. Этот скачок конечный. Смотри в приложении
11.2 2) разрыв 2-го рода
Здесь скачок бесконечный. Значит разрыв второго рода. При х=1 - функция не существует
Приложения:
Odinoshka163rus:
спасибо но можешь объяснить как определяются разрывы
то есть если бы приделы совпадали в первом то он был бы точкой непрерывности как я понимаю
Вас заинтересует
2 года назад
2 года назад
7 лет назад
7 лет назад
9 лет назад