• Предмет: Математика
  • Автор: Vladimirofficial
  • Вопрос задан 11 лет назад

Привет, мне нужна помощь с домашней работой. Мое домашнее задание во вложениях.

Приложения:

Ответы

Ответ дал: Artem112
0

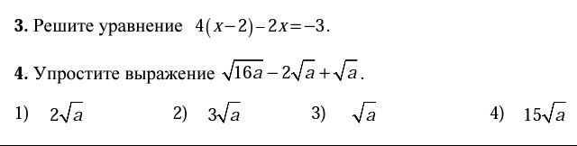
4(x-2)-2x=-3

4x-8-2x=-3

2x=5

x=2.5

 

корень16а-2кореньа+кореньа=4кореньа-2кореньа+кореньа=3кореньа

Ответ дал: jaikphantom
0
4x-8-2x=-3; 2x=5 X=2,5 2)4sqrt(a)-2sqrt(a)+sqrt(a)=3sqrt(a) Ответ: 2
Вас заинтересует