• Предмет: Математика
  • Автор: 1YuR1Okay1
  • Вопрос задан 3 года назад

Если не трудно, помогите, для меня это очень важно, сделайте по совести , и т. д, как полагается:
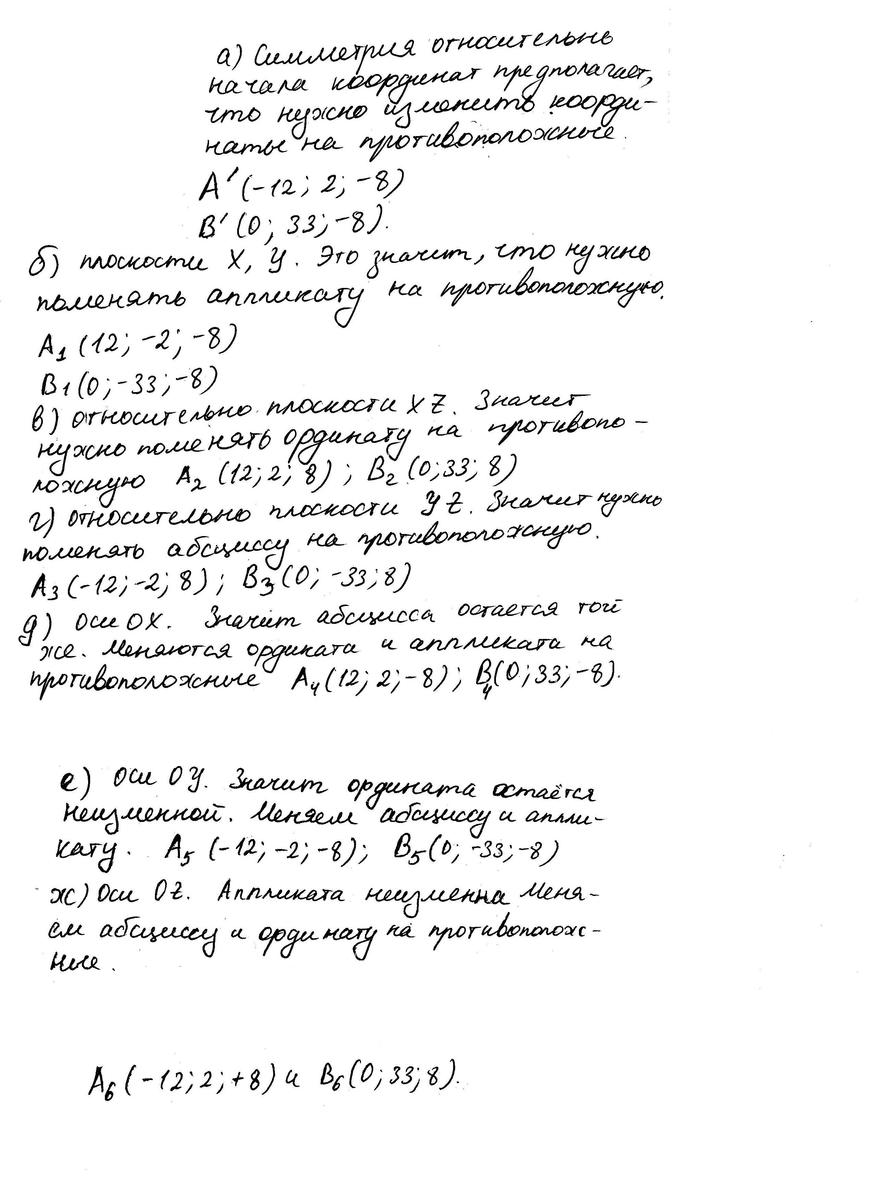
1)Записать координаты точек , симметричных точкам относительно :а) начала координат ; б) плоскости XY ; в) плоскости XZ ; г) плоскости YZ; д) оси ОX ; е) оси ОY ; ж) оси ОZ
А(12;-2;8)
В(0;-33;8)

Ответы

Ответ дал: bearcab
0
Решение в приложениях
Приложения:
Вас заинтересует