help me please)найти площадь фигуры ограниченной линиями
x=√(y-1), x=0, y=5
Мистэр:
x=0, у=5 это пункты через которые проходит график функции x=√(y-1)?
а всё, понял
Ответы
Ответ дал:
0
Решение- в файле. И рисунок тоже
Приложения:
Ответ дал:
0
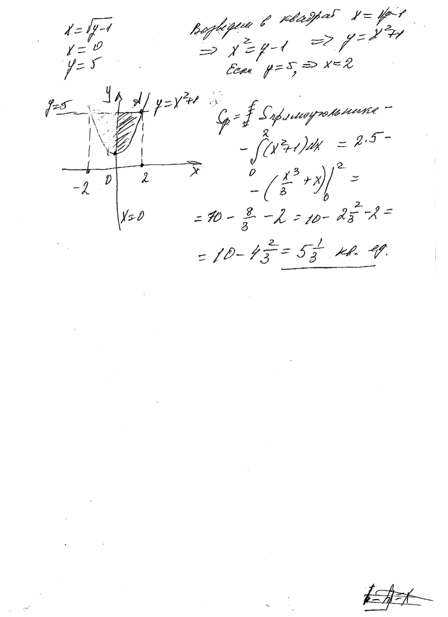
1 способ. Задана криволинейная трапеция относительно оси ОУ.Поэтому:

2 способ. Если область рассматривать как разность двух криволин. трапеций относительно оси ОХ, то

P.S.

Парабола у=х²+1 имеет вершину в точке (0,1). Рассматривается правая ветвь,
т.к.
.Точки пересечения параболы с
прямой у=5:
.
x=0 - ось ОУ.
2 способ. Если область рассматривать как разность двух криволин. трапеций относительно оси ОХ, то
P.S.
Парабола у=х²+1 имеет вершину в точке (0,1). Рассматривается правая ветвь,
т.к.
прямой у=5:
x=0 - ось ОУ.
Вас заинтересует
2 года назад
2 года назад
2 года назад
2 года назад
7 лет назад
9 лет назад
9 лет назад