• Предмет: Геометрия
  • Автор: Karama00
  • Вопрос задан 2 года назад

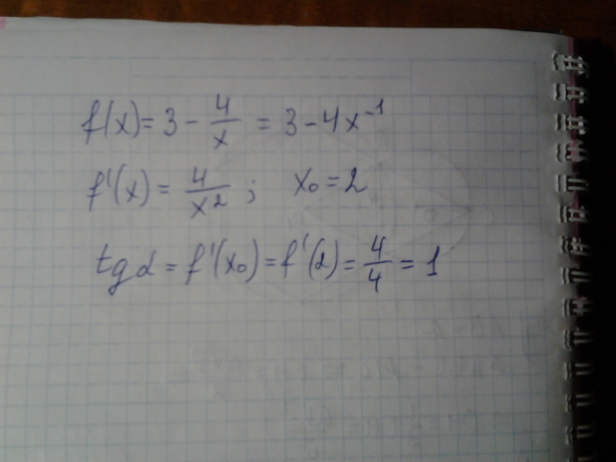
Найдите тангенс угла наклона касательной к графику функции f(x)=3-4/x в точке x нулевой =2
Буду безмерно благодарна

Ответы

Ответ дал: okneret
2
Тангенс угла наклона касательной равен значению производной в данной точке
Приложения:
Вас заинтересует