Ответы
Ответ дал:
1
!!!!!!!!!!!!!!!!!!!!!!!!!!!!!!!!!
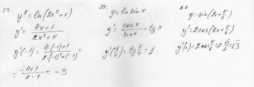
Приложения:

Вас заинтересует
2 года назад
2 года назад
2 года назад
7 лет назад
8 лет назад
8 лет назад