• Предмет: Информатика
  • Автор: Лиза2017
  • Вопрос задан 3 года назад

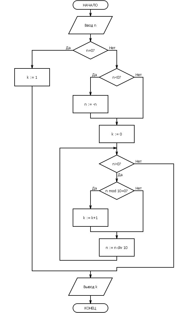
Блок-схемой
1.Пользователь вводит число, а программа выводит кол-во нулей в этом числе.

Ответы

Ответ дал: Аноним
0
В блок-схеме операция mod - остаток от целочисленного деления, div - целочисленное деление
Приложения:
Вас заинтересует