Ответы
Ответ дал:
1
...................................................................
Приложения:

Ответ дал:
1
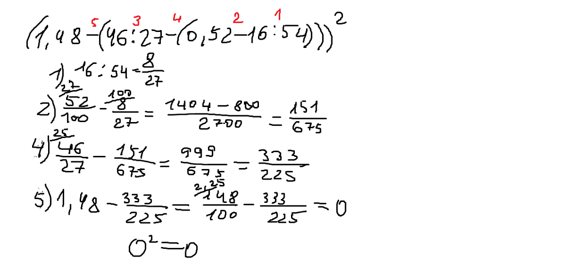
{1,48-[46:27-(0,52-16:54)]}²
а)Запишем результат деления в виде дроби:
46:27=46/27; 16:54=16/54=8/27;
б)Внимательно раскроем скобки, не забывая менять знаки. Получим: {1,48-46/27+0,52-8/27}² = (сгруппируем простые и десятичные дроби) = [(1,48+0,52)-(46/27+8/27)]² = (2-2)² =0²=0
а)Запишем результат деления в виде дроби:
46:27=46/27; 16:54=16/54=8/27;
б)Внимательно раскроем скобки, не забывая менять знаки. Получим: {1,48-46/27+0,52-8/27}² = (сгруппируем простые и десятичные дроби) = [(1,48+0,52)-(46/27+8/27)]² = (2-2)² =0²=0
Вас заинтересует
2 года назад
2 года назад
2 года назад
2 года назад
7 лет назад
8 лет назад