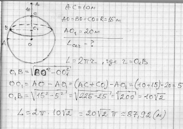
Радиус шара 15 м. вне шара дана точка А на расстоянии 10м от его поверхности. найдите длину такой окружности на поверхности шара, все точки которой отстоят от точки А на расстоянии 20м. решите задачу вместе с чертежом пожалуйста
Ответы
Ответ дал:
4
Привет!))))))))))))))))))))))))))
Приложения:

jump666:
спасибо. уже решили. это другу надо было))
Вас заинтересует
2 года назад
2 года назад
2 года назад
7 лет назад
7 лет назад
9 лет назад