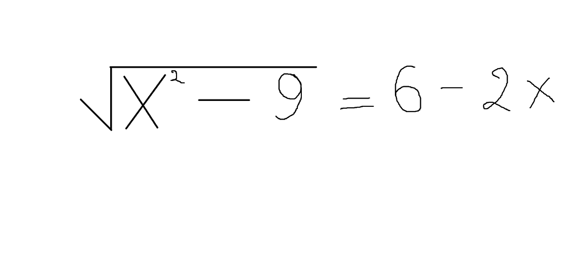
Решите уравнение.
Срок 4 часа. Срочно.
Приложения:

Лотарингская:
в квадрат обе части возведи
Ответы
Ответ дал:
1
6-2x≥0⇒2x≤6 ⇒x≤3⇒x∈(-∞;3]
x²-9=36-24x+4x²
3x²-24x+45=0
x²-8x+15=0
x1+x2=8 U x1*x2=15
x1=3
x2=5∉ОДЗ
x²-9=36-24x+4x²
3x²-24x+45=0
x²-8x+15=0
x1+x2=8 U x1*x2=15
x1=3
x2=5∉ОДЗ
Ответ дал:
1
ОДЗ:
--------
-------------------------
-------------------------
Решение:
Ответ:
Вас заинтересует
2 года назад
2 года назад
2 года назад
7 лет назад
7 лет назад
9 лет назад
9 лет назад