Ответы
Ответ дал:
1
Несложные уравнения
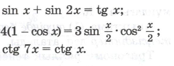
1) sin x + sin 2x = tg x
sin x + 2sin x*cos x = sin x/cos x
sin x*(1 + 2cos x) = sin x/cos x
a) sin x = 0; x1 = pi*k
b) 1 + 2cos x = 1/cos x
2cos^2 x + cos x - 1 = 0
(cos x + 1)(2cos x - 1) = 0
cos x = -1; x2 = pi + 2pi*n
cos x = 1/2; x3 = +-pi/3 + 2pi*m
2) 4(1 - cos x) = 3sin(x/2)*cos^2(x/2)
Есть формула синуса половинного аргумента
1 - cos x = 2sin^2(x/2)
Получаем
8sin^2(x/2) = 3sin(x/2)*cos^2(x/2)
sin(x/2)*(8sin(x/2) - 3cos^2(x/2)) = 0
a) sin(x/2) = 0; x/2 = pi*k; x1 = 2pi*k
b) 8sin(x/2) - 3cos^2(x/2) = 0
8sin(x/2) - 3(1 - sin^2(x/2)) = 0
3sin^2(x/2) + 8sin(x/2) - 3 = 0
(sin(x/2) + 3)(3sin(x/2) - 1) = 0
sin(x/2) = -3; решений нет
sin(x/2) = 1/3; x2 = 2*(-1)^n*arcsin(1/3) + 2pi*n
3) ctg 7x = ctg x
ctg x - ctg 7x = 0
Есть формула
ctg a - ctg b = sin(b-a)/(sin a*sin b)
Подставляем
sin(7x- x)/(sin 7x*sin x) = 0
sin 6x/(sin 7x*sin x) = 0
Разложим sin 6x
2sin 3x*cos 3x/(sin 7x*sin x) = 0
Разложим sin 3x и cos 3x
2*sin x(3 - 4sin^2 x)*cos x(4cos^2 x - 3)/(sin 7x*sin x) = 0
Сокращаем sin x
2cos x*(3 - 4sin^2 x)*(4cos^2 x - 3)/sin 7x = 0
Если дробь равна 0, то ее числитель равен 0, а знаменатель нет.
a) cos x = 0; x1 = pi/2 + pi*k
b) 3 - 4sin^2 x = 0
sin^2 x = 3/4
sin x = +-√3/2; x2 = +-pi/3 + pi*n
c) 4cos^2 x - 3 = 0
cos^2 x = 3/4
cos x = +-√3/2; x3 = +-pi/6 + pi*m
Ни при одном из этих корней sin 7x не равен 0.
1) sin x + sin 2x = tg x
sin x + 2sin x*cos x = sin x/cos x
sin x*(1 + 2cos x) = sin x/cos x
a) sin x = 0; x1 = pi*k
b) 1 + 2cos x = 1/cos x
2cos^2 x + cos x - 1 = 0
(cos x + 1)(2cos x - 1) = 0
cos x = -1; x2 = pi + 2pi*n
cos x = 1/2; x3 = +-pi/3 + 2pi*m
2) 4(1 - cos x) = 3sin(x/2)*cos^2(x/2)
Есть формула синуса половинного аргумента
1 - cos x = 2sin^2(x/2)
Получаем
8sin^2(x/2) = 3sin(x/2)*cos^2(x/2)
sin(x/2)*(8sin(x/2) - 3cos^2(x/2)) = 0
a) sin(x/2) = 0; x/2 = pi*k; x1 = 2pi*k
b) 8sin(x/2) - 3cos^2(x/2) = 0
8sin(x/2) - 3(1 - sin^2(x/2)) = 0
3sin^2(x/2) + 8sin(x/2) - 3 = 0
(sin(x/2) + 3)(3sin(x/2) - 1) = 0
sin(x/2) = -3; решений нет
sin(x/2) = 1/3; x2 = 2*(-1)^n*arcsin(1/3) + 2pi*n
3) ctg 7x = ctg x
ctg x - ctg 7x = 0
Есть формула
ctg a - ctg b = sin(b-a)/(sin a*sin b)
Подставляем
sin(7x- x)/(sin 7x*sin x) = 0
sin 6x/(sin 7x*sin x) = 0
Разложим sin 6x
2sin 3x*cos 3x/(sin 7x*sin x) = 0
Разложим sin 3x и cos 3x
2*sin x(3 - 4sin^2 x)*cos x(4cos^2 x - 3)/(sin 7x*sin x) = 0
Сокращаем sin x
2cos x*(3 - 4sin^2 x)*(4cos^2 x - 3)/sin 7x = 0
Если дробь равна 0, то ее числитель равен 0, а знаменатель нет.
a) cos x = 0; x1 = pi/2 + pi*k
b) 3 - 4sin^2 x = 0
sin^2 x = 3/4
sin x = +-√3/2; x2 = +-pi/3 + pi*n
c) 4cos^2 x - 3 = 0
cos^2 x = 3/4
cos x = +-√3/2; x3 = +-pi/6 + pi*m
Ни при одном из этих корней sin 7x не равен 0.
Вас заинтересует
2 года назад
2 года назад
2 года назад
7 лет назад
7 лет назад
9 лет назад