• Предмет: Алгебра
  • Автор: alinasapar
  • Вопрос задан 3 года назад

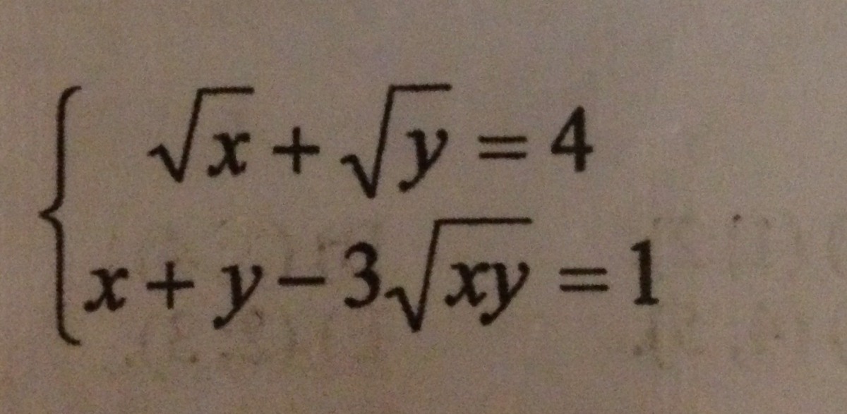
Решите систему уравнений:

Приложения:

Ответы

Ответ дал: manyny06
1
решение смотри на фотографии
Приложения:

alinasapar: Большое спасибо! Сначала не могла понять, но потом дошло)
Вас заинтересует