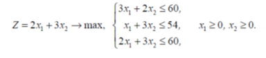
Решите оптимизационную задачу с помощью процедуры «Поиск решения»
Желательно, если вы сможете, с объяснением как вставить данные уравнения в этот "поиск решений"
Приложения:

Ответы
Ответ дал:
0
один из вариантов таблицы:
Сервис/надстройки/поиск решения/ -- поставить галочку.
Сервис/поиск решения --- добавить условия
Сервис/надстройки/поиск решения/ -- поставить галочку.
Сервис/поиск решения --- добавить условия
Приложения:
SecondSon:
большое спасибо
Вас заинтересует
2 года назад
2 года назад
2 года назад
2 года назад
7 лет назад
7 лет назад
8 лет назад