Ответы
Ответ дал:
3
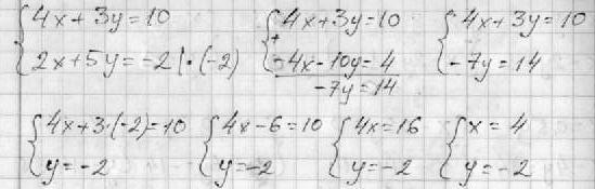
4x+3y=10
2x+5y=-2/-2⇒-4х-10у=4
-7у=14
у=-2
4х-6=10
4х=16
х=4
(4;-2)
2x+5y=-2/-2⇒-4х-10у=4
-7у=14
у=-2
4х-6=10
4х=16
х=4
(4;-2)
Ответ дал:
1
))))))))))))))))))))))))))))))))
Приложения:

nyutella:
Спасибо)
Вас заинтересует
2 года назад
2 года назад
7 лет назад
9 лет назад