Ответы
Ответ дал:
1
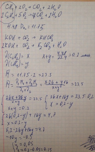
Смотри в приложении. Во второй задаче я в начале написала два уравнения CO2 с KOH, но ты на них не смотри
Приложения:



Аноним:
плотность паров фосфора по хлору =1.75. Сколько атомов содержит молекула фосфора?
Вас заинтересует
2 года назад
2 года назад
2 года назад
2 года назад
7 лет назад
9 лет назад