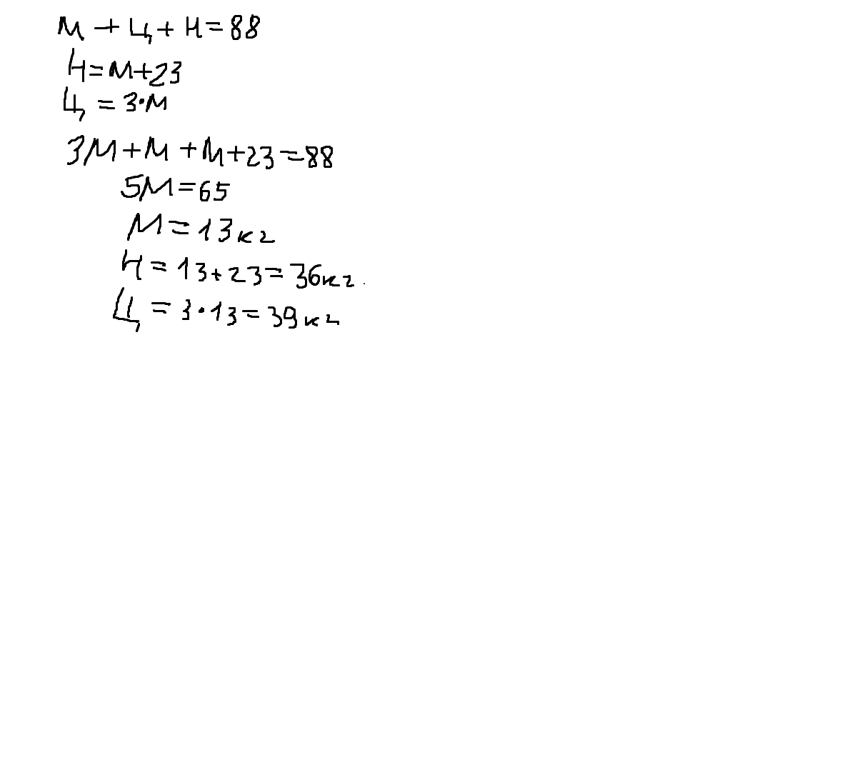
Сплав имеет вес 88 кг. Меди в нем на 23 кг меньше, чем никеля, а цинка в 3 раза больше, чем меди. Сколько кг каждого компонента в сплаве?
Ответы
Ответ дал:
4
............................................................
Приложения:
Rainbow1337XD:
Cпасибо)решил также)
Ответ дал:
12
пусть никеля Х кг
тогда меди в нем Х -23
а цинка 3*( Х-23)\\

никеля 36 кг, меди 36-23=13 кг , цинка 3*13=39 кг
тогда меди в нем Х -23
а цинка 3*( Х-23)\\
никеля 36 кг, меди 36-23=13 кг , цинка 3*13=39 кг
Вас заинтересует
2 года назад
2 года назад
2 года назад
7 лет назад
7 лет назад
9 лет назад