Ответы
Ответ дал:
2
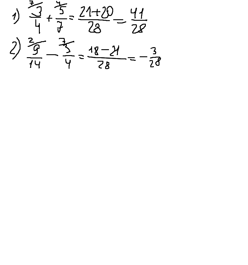
1)3/4+5/7=21+20/28=41/28=1ціла 13/28
2)9/14-3/4=18-21/28=-3/28
2)9/14-3/4=18-21/28=-3/28
Аноним:
поставь скобки
Ответ дал:
0
,................................................,...............
Приложения:

Вас заинтересует
2 года назад
2 года назад
2 года назад
7 лет назад
7 лет назад
8 лет назад
8 лет назад