• Предмет: Алгебра
  • Автор: uh19
  • Вопрос задан 3 года назад

интеграл..............................................

Приложения:

Ответы

Ответ дал: DimaPuchkov
2
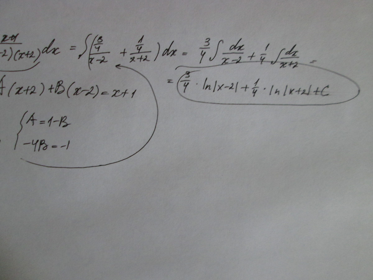
\int \frac{(x-1) \cdot (x+1)}{(x-2) \cdot (x-1) \cdot (x+2)} \, dx=
 \int \frac{ x+1}{(x-2)\cdot (x+2)} \, dx =  (*)  \\ \\ \frac{A}{x-2} + 
\frac{B}{x+2}=\frac{x+1}{(x-2)\cdot (x+2)} \\ \\ A(x+2) + B(x-2)=x+1 \\ 
\\ \left\{\!\begin{aligned}
&  A+B=1  \\
&  2A-2B=1  
\end{aligned}\right. \ \ \  \left\{\!\begin{aligned}
&  A=1-B  \\
&  2-2B-2B=1  
\end{aligned}\right. \ \ \ \left\{\!\begin{aligned}
&  A = 1-B \\
&  -4B=-1
\end{aligned}\right.

\ \left\{\!\begin{aligned}
&  A = 1-\frac{1}{4}=\frac{3}{4} \\
&  B=\frac{1}{4} 
\end{aligned}


(*) =  \int {( \frac{\frac{3}{4} 
}{x-2} + \frac{\frac{1}{4}}{x+2})} \, dx = \\ \\ = \frac{3}{4} \int 
{\frac{\, dx}{x-2}} + \frac{1}{4} \int {\frac{ \, dx }{x+2}}= 
\\\\=\frac{3}{4}\cdot \ln{|x-2|}+\frac{1}{4} \cdot \ln{|x+2|}+C

Ответ дал: Nothaft
1
Решение в файле................
Приложения:
Вас заинтересует