• Предмет: Алгебра
  • Автор: МАрИйКа14
  • Вопрос задан 11 лет назад

.......................................ПОМОГИТЕ

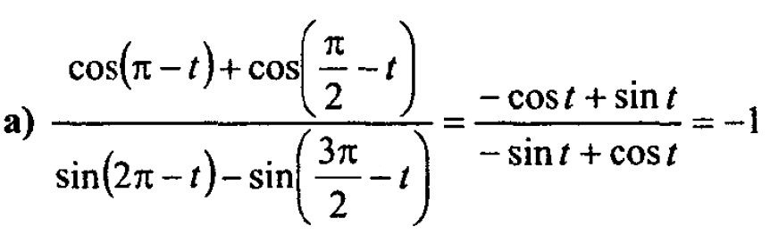
Приложения:

Ответы

Ответ дал: Аноним
0

см.влож

==================================

 

Приложения:
Ответ дал: Artem112
0

надеюсь будет понятно....

Приложения:
Вас заинтересует