Ответы
Ответ дал:
1
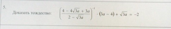
=(2-√(3a))²/(2-√(3a))⁻¹*(√(3a)-2)*(√(3a)+2)+√(3a)=
=(1/(2-√(3a))*(√(3a)+2)*(√(3a)-2)+√(3a)=-(√(3a)+2)+√(3a)≡-2.
=(1/(2-√(3a))*(√(3a)+2)*(√(3a)-2)+√(3a)=-(√(3a)+2)+√(3a)≡-2.
Вас заинтересует
2 года назад
2 года назад
2 года назад
2 года назад
7 лет назад
7 лет назад
9 лет назад
9 лет назад