• Предмет: Математика
  • Автор: ekinderoff2014
  • Вопрос задан 2 года назад

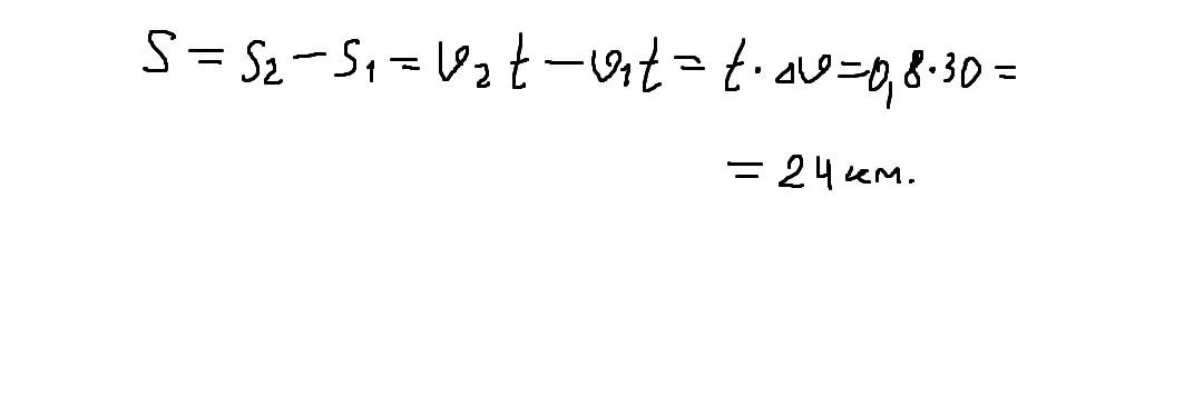
мотоциклист догнал велосипедиста через 0,8 часа. Скорость велосипедиста 12 км/ч, а скорость мотоциклиста 42 км/ч.Какое расстояние было между ними , когда мотоциклист стал догонять велосипедиста

Ответы

Ответ дал: Artur1897
0
................................................................
Приложения:

ekinderoff2014: а можно по нормально написать
Artur1897: а ты дано сам не можешь написать?
ekinderoff2014: у тебя половина букв не разберёшь
Вас заинтересует