• Предмет: Алгебра
  • Автор: uh19
  • Вопрос задан 2 года назад

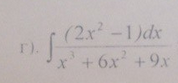
интеграл..............................

Приложения:

Ответы

Ответ дал: DimaPuchkov
1
 \int {\frac{2x^2 -1}{x^3+6x^2 +9x}} \, dx =  \int {\frac{2x^2 -1}{x \cdot (x^2+6x +9)}} \, dx = \int {\frac{2x^2 -1}{x \cdot (x+3)^2}} \, dx = (*) \\ \\ \frac{A}{x} + \frac{B}{x+3}+ \frac{C}{(x+3)^2}=\frac{2x^2-1}{x \cdot (x+3)^2} \\ \\ A(x^2 +6x+9) + B(x^2+3x) +Cx=2x^2-1



\left\{\!\begin{aligned}
&  A +B=2 \\
&  6A+3B+C=0 \\
&  9A =-1
\end{aligned}\right. \ \ \left\{\!\begin{aligned}
&  B = 2+\frac{1}{9}=\frac{19}{9} \\
&  C=\frac{6}{9}-\frac{3 \cdot 19}{9}=\frac{2-19}{3}=-\frac{17}{3} \\
&  A  =-\frac{1}{9}\end{aligned}\right.  \\ \\ \\ \int {(-\frac{1}{9x}  + \frac{19}{9 \cdot  (x+3)} - \frac{17}{3 \cdot (x+3)^2}}}) \, dx= -\frac{1}{9} \int \frac{dx}{x} + \frac{19}{9} \int \frac{dx}{x+3} - \frac{17}{3} \int \frac{dx}{x+3)^2} =


\\\\ =-\frac{1}{9} \ln{|x|} + \frac{19}{9} \ln{|x+3|} - \frac{17}{3} \cdot (- \frac{1}{x+3}) + C = \\ \\ = -\frac{1}{9} \ln{|x|} + \frac{19}{9} \ln{|x+3|} +  \frac{17}{ 3 \cdot (x+3)}+ C
Ответ дал: manyny06
1
решение смотри на фотографии
Приложения:
Вас заинтересует