Ответы
Ответ дал:
0
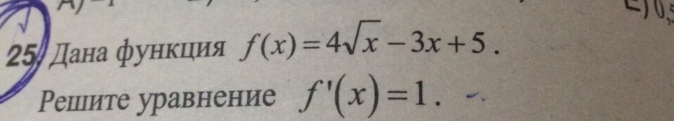
Производную найдём по формуле 


Вас заинтересует
2 года назад
2 года назад
2 года назад
7 лет назад
7 лет назад
9 лет назад