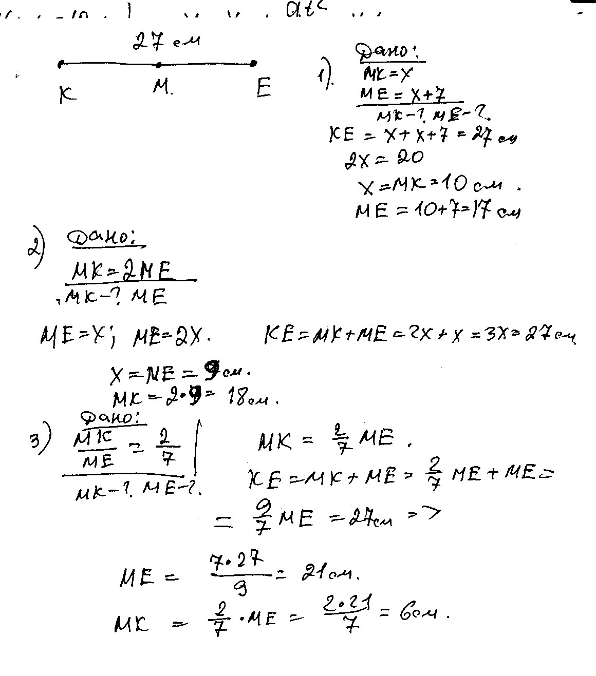
точка М принадлежит отрезку KE, длина которого равна 27 см. найдите длины отрезков MK и ME, если: 1) длина отрезка МК на 7 см меньше длины отрезка МЕ; 2) длина отрезка МК в 2 раза больше длины отрезка МЕ; 3) МК : МЕ= 2:7. ПРОШУ ВАС ОЧЕНЬ ОЧЕНЬ НАДО!!!! ДАЮ 20 БАЛЛОВ
Ответы
Ответ дал:
178
точка М принадлежит отрезку KE, длина которого равна 27 см. найдите длины отрезков MK и ME, если: 1) длина отрезка МК на 7 см меньше длины отрезка МЕ; 2) длина отрезка МК в 2 раза больше длины отрезка МЕ; 3) МК : МЕ= 2:7. ПРОШУ ВАС ОЧЕНЬ ОЧЕНЬ НАДО!!!! ДАЮ 20 БАЛЛОВ
Приложения:

Вас заинтересует
2 года назад
2 года назад
7 лет назад
7 лет назад
8 лет назад