Ответы
Ответ дал:
0
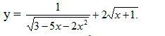
Область определения функции задаётся системой неравенств:
Так как подкоренное выражение должно быть неотрицательным и делить на ноль нельзя, то {3-5x - 2x² >0
x+1≥0
Первое неравенство системы: 3-5x - 2x² >0
-2х -5х +3 >0
D = 25 -4*(-2)*3 = 25+24 =49 =7²
x= 5 - 7/2*(-2) = 1/2
x = 5+7/(-4) = -3
₋₋₋₋₋₋⁻₋₋₋₋₋₋ -3₋₋₋₋₋₋₋₋₋⁺₋₋₋₋₋₋1/2₋₋₋₋₋₋⁻₋₋₋₋₋₋₋₋
Решение неравенства: х∈ (-3; 1/2)
решим второе неравенство: х+1≥ 0
х≥-1
Итак, решение системы: х∈[-1; 1/2)
Так как подкоренное выражение должно быть неотрицательным и делить на ноль нельзя, то {3-5x - 2x² >0
x+1≥0
Первое неравенство системы: 3-5x - 2x² >0
-2х -5х +3 >0
D = 25 -4*(-2)*3 = 25+24 =49 =7²
x= 5 - 7/2*(-2) = 1/2
x = 5+7/(-4) = -3
₋₋₋₋₋₋⁻₋₋₋₋₋₋ -3₋₋₋₋₋₋₋₋₋⁺₋₋₋₋₋₋1/2₋₋₋₋₋₋⁻₋₋₋₋₋₋₋₋
Решение неравенства: х∈ (-3; 1/2)
решим второе неравенство: х+1≥ 0
х≥-1
Итак, решение системы: х∈[-1; 1/2)
Вас заинтересует
2 года назад
7 лет назад
7 лет назад