Ответы
Ответ дал:
0
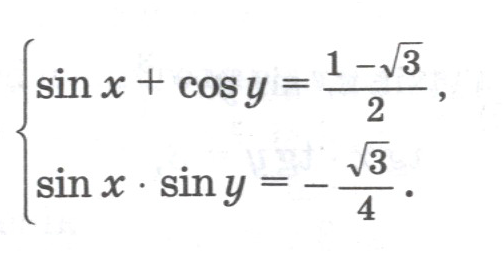
sinx+cosx=(1-√3)/2 sinx+cosx=(1/2)+(-√3/2)
sinx*cosx=-√3/4 sinx*cosx=(1/2)*(-√3/2)
sinx=1/2 x₁=π/6+2πn x₂=5π/6+2πn
cosx=-√3/2 x₃=5π/6+2πn x₄=7π/6+2πn
sinx=-√3/2 x₅=4π/3+2πn x₆=5π/3+2πn
cosx=1/2 x₇=π/3+2π x₈=5π/3+2πn
Ответ: x₁=5π/6+2πn x₂=5π/3+2πn.
sinx*cosx=-√3/4 sinx*cosx=(1/2)*(-√3/2)
sinx=1/2 x₁=π/6+2πn x₂=5π/6+2πn
cosx=-√3/2 x₃=5π/6+2πn x₄=7π/6+2πn
sinx=-√3/2 x₅=4π/3+2πn x₆=5π/3+2πn
cosx=1/2 x₇=π/3+2π x₈=5π/3+2πn
Ответ: x₁=5π/6+2πn x₂=5π/3+2πn.
redial:
здесь cosy должно быть
Вас заинтересует
2 года назад
2 года назад
2 года назад
7 лет назад