Помогите решить систему уравнении
Спасибо
Приложения:

Denik777:
Можно возвести оба уравнения в квадрат, а потом обозначить sin^2(x) и sin^2(y) за z и t. После чего получается обычное квадратное уравнение
Ответы
Ответ дал:
0
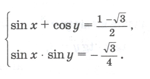
Возведём в квадрат обе части первого уравнения: sin²x+cos²y +2sinxcosy = (4-2√3)/4, подставим значение произведения из второго уравнения системы, получим: sin²x+cos²y +2 *(-√3/4) = 1-√3/2
sin²x+cos²y -√3/2 = 1-√3/2
sin²x+cos²y =1
sin²x+cos²y =sin²у+cos²y
sin²x-sin²y = 0
(sinx-cosy) (sinx +cosy)=0
1) sinx-cosy=0 2) sinx+cosy =0
Далее применяются формулы приведения
sin²x+cos²y -√3/2 = 1-√3/2
sin²x+cos²y =1
sin²x+cos²y =sin²у+cos²y
sin²x-sin²y = 0
(sinx-cosy) (sinx +cosy)=0
1) sinx-cosy=0 2) sinx+cosy =0
Далее применяются формулы приведения
Вас заинтересует
2 года назад
2 года назад
2 года назад
2 года назад
7 лет назад
7 лет назад
9 лет назад