Помогите пожалуйста
репетитор домашку задал а я последний номер не могу решить
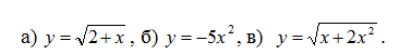
Установите, какие из данных функций четные, какие нечетные:
Приложения:
costyaet:
мне желательно с решением
Ответы
Ответ дал:
0
1)y=√2+x D(y)∈[-2;∞)
y(-x)=√2-x D(y)∈(-∞;2]
ни четная,ни нечетная
2)у=-5х² D(y)∈(-∞;∞)
y(-x)=-5(-x)²=-5x²
y(x)=y(-x)
четная
3)у=√(х+2х²) D(y)∈(-∞;-1/2) U (0;∞)
y(-x)=√(-x+2(-x)²=√(-x+2x²) D(y)∈(-∞;0) U (1/2;∞)
ни четная,ни нечетная
y(-x)=√2-x D(y)∈(-∞;2]
ни четная,ни нечетная
2)у=-5х² D(y)∈(-∞;∞)
y(-x)=-5(-x)²=-5x²
y(x)=y(-x)
четная
3)у=√(х+2х²) D(y)∈(-∞;-1/2) U (0;∞)
y(-x)=√(-x+2(-x)²=√(-x+2x²) D(y)∈(-∞;0) U (1/2;∞)
ни четная,ни нечетная
Ответ дал:
1
Функция чётна, если 
Функция нечётная, если
Если оба условия не выполняются, то функция является ни чётной, ни нечётной (функция общего вида)

Ни чётная, ни нечётная

Чётная

Ни чётная, ни нечётная
Функция нечётная, если
Если оба условия не выполняются, то функция является ни чётной, ни нечётной (функция общего вида)
Ни чётная, ни нечётная
Чётная
Ни чётная, ни нечётная
Вас заинтересует
2 года назад
2 года назад
2 года назад
2 года назад
7 лет назад
7 лет назад
9 лет назад