Тригонометрическое выражение. Ответ должен быть корень из трёх, упрощаю - не выходит. Получается ответ 1.
Распишите, пожалуйста, решение.
Приложения:

Ответы
Ответ дал:
0
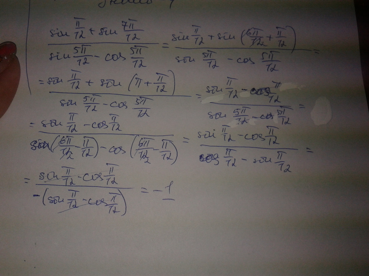
Это третий ответ:-1.
Приложения:

Ответ дал:
0
sin(π/12)+sin(7π/12)=sin((π/12+7π/12)/2)*cos((π/12-7π/12)/2)
cos((π/12-7π/12)/2)=cos(-π/4)=√2/2
sin((π/12+7π/12)/2)=sin(π/3)=√3/2
sin(5π/12)-cos(5π/12)=sin(5π/12)-sin(π/12)=sin((5π/12+π/12)/2)*cos((5π/12-π/12)/2)=sin(π/4)*cos(π/6)=√2/2*√3/2
ответ 1
cos((π/12-7π/12)/2)=cos(-π/4)=√2/2
sin((π/12+7π/12)/2)=sin(π/3)=√3/2
sin(5π/12)-cos(5π/12)=sin(5π/12)-sin(π/12)=sin((5π/12+π/12)/2)*cos((5π/12-π/12)/2)=sin(π/4)*cos(π/6)=√2/2*√3/2
ответ 1
Вас заинтересует
2 года назад
7 лет назад
9 лет назад
9 лет назад