• Предмет: Математика
  • Автор: lincoln97
  • Вопрос задан 3 года назад

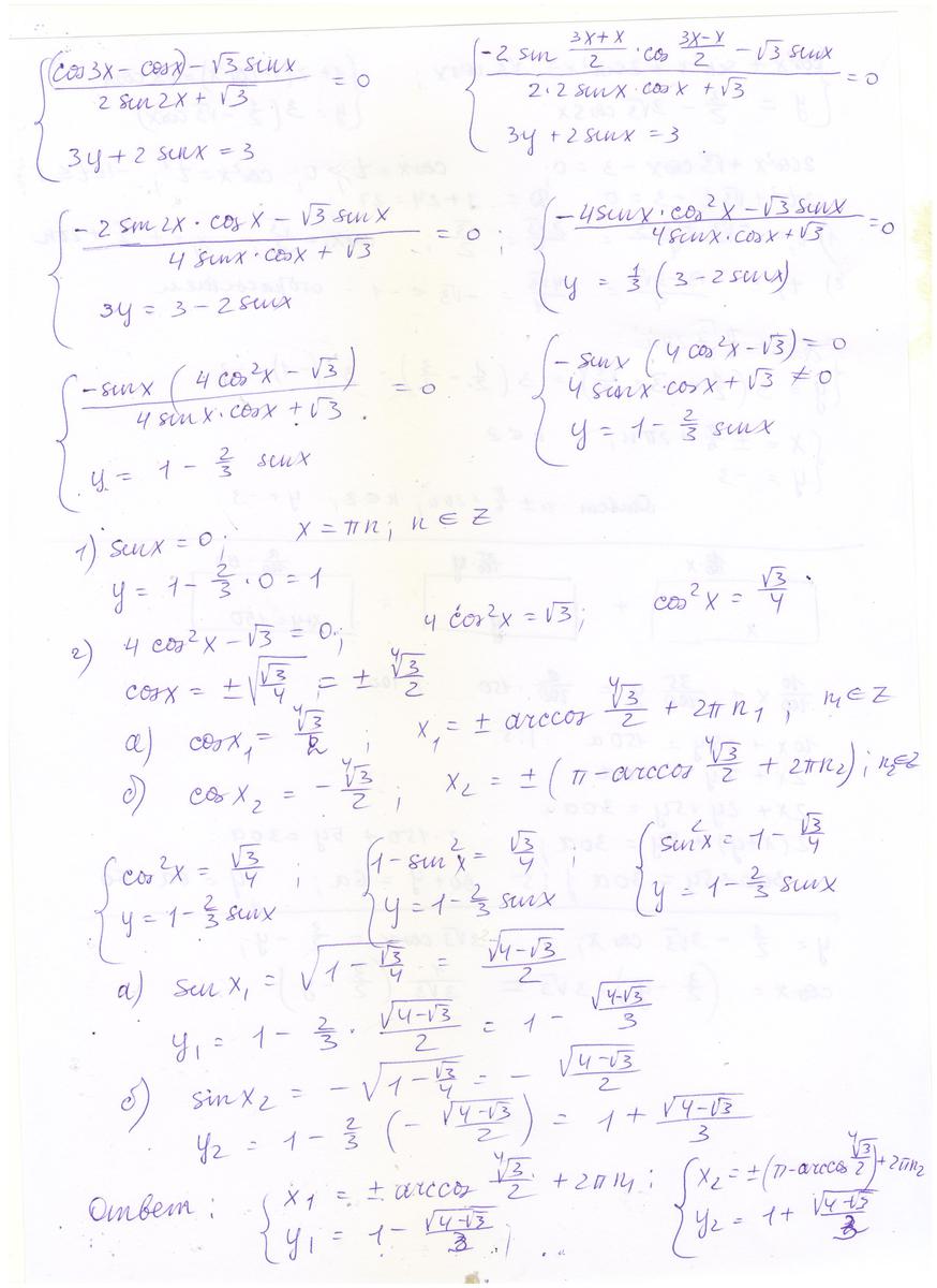
Решите систему уравнений.

Приложения:

Ответы

Ответ дал: alfabetta
1
смотри приложенный файл
Приложения:

lincoln97: спасибо! а здесь если у через cosx выразить, получится тоже?
alfabetta: будет также но более громоздко
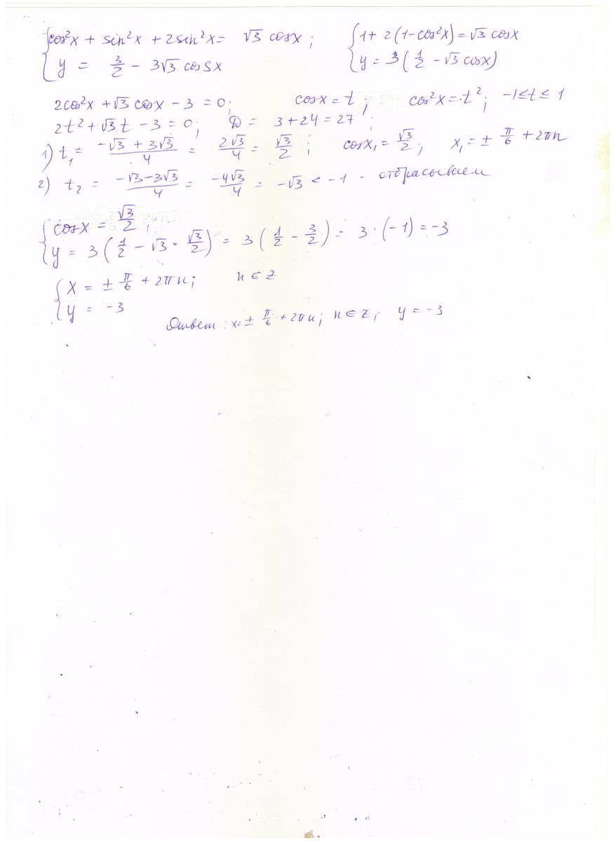
lincoln97: спасибо. а что со 2 можно сделать?
lincoln97: ОДЗ: знаменатель не равен 0, а потом выбросить?*
Вас заинтересует