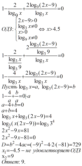
уравнение логарифмов 1-2/log9x+2 log9(2 x-9)/log3x=0 пожалуйста помогите !!!
Приложения:

bearcab:
Поставьте картинку!
Ответы
Ответ дал:
0
Решение смотрите в приложении.....
Приложения:

Вас заинтересует
2 года назад
2 года назад
2 года назад
2 года назад
7 лет назад
7 лет назад
9 лет назад