• Предмет: Математика
  • Автор: lolitochka9595
  • Вопрос задан 3 года назад

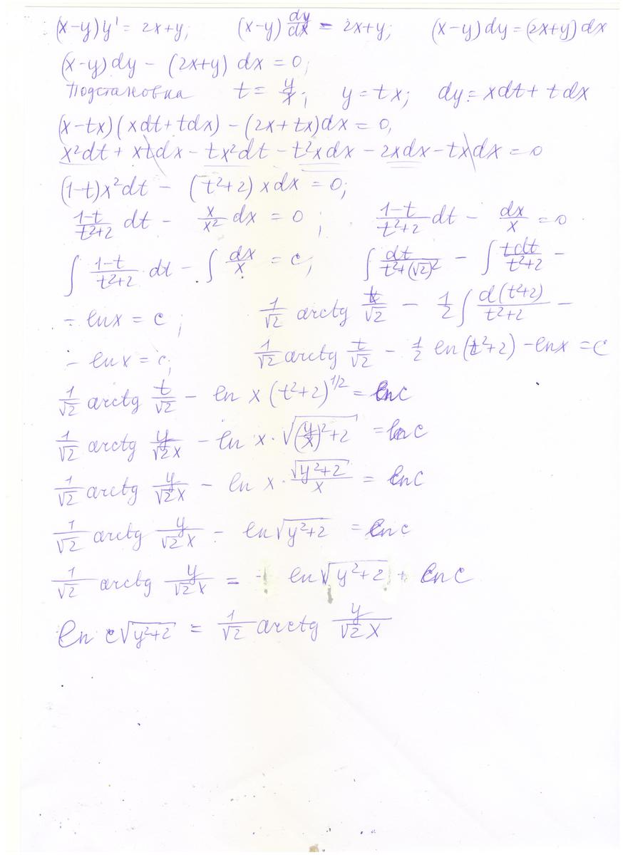
помогите пожалуйста найти общее решение(общий интеграл) дифференциального уравнения первого порядка (x-y)y'=2*x+y

Ответы

Ответ дал: alfabetta
1
смотри приложенный файл
Приложения:
Вас заинтересует