• Предмет: Математика
  • Автор: genek685
  • Вопрос задан 2 года назад

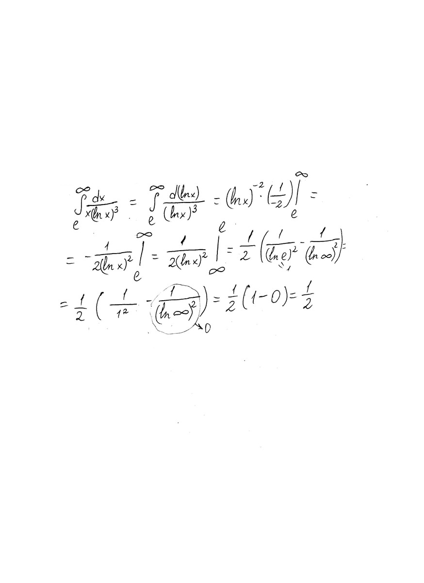
Помогите пожалуйста! Вычислить несобственный интеграл dx / x*(lnx)^3 от e до бесконечности.

Ответы

Ответ дал: bearcab
1
Решение в приложении. Должно быть понятно.
Приложения:
Вас заинтересует