• Предмет: Алгебра
  • Автор: AlisFreak
  • Вопрос задан 3 года назад

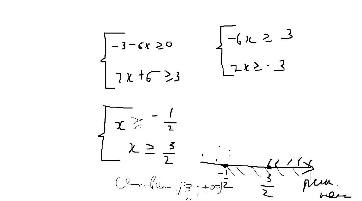
Система уравнений
нужен рисунок
-3 - 6х больше или равно 0
2х + 6 больше или равно 3

Ответы

Ответ дал: Heniy693
0
Второй правильный ошибся со знаком оо
Приложения:

AlisFreak: ответ -1,5 ; -0,5
AlisFreak: мне нужно выбрать палочки
AlisFreak: 1) палочки сверху в середине
2) палочки сверху в 2 и 3 промежутке
3) палочки в 1 и 3 промежутке
Вас заинтересует