№1:разложите на множители выражение
а)m*(a-2b)-3n*(2b-a)
б)5mx²+10my²-6y²-3x²²
в)x(в степени k-1)+3x(в степени k)-1-3x,где k-натуральное число
№2:Разложите на множители выражение
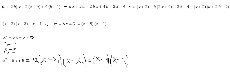
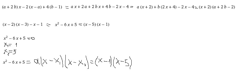
а)(a+2b)x-2*(x-a)+4(b-1)
б)(x-2)(x-3)-x-1
№3
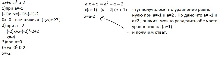
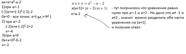
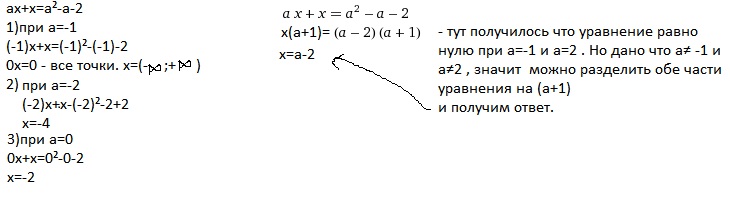
Найдите корень уравнения ax+x=a²-a-2(a-параметр),при a=-1,a=-2,и a=0.Запишите формулу зависимости корней уравнения от параметра а,если a≠ -1 и a≠2
Ответы
Ответ дал:
0
m*(a-2b)-3n*(2b-a)=m*(a-2b)+3n*(a-2b)=(a-2b)(m+3n)
5mx²+10my²-6y²-3x²=x^2(5m-3)+2y^2(5m-3)=(5m-3)(x^2+2y^2)
Приложения:





Вас заинтересует
2 года назад
2 года назад
8 лет назад
8 лет назад
10 лет назад
10 лет назад
10 лет назад