• Предмет: Алгебра
  • Автор: Аноним
  • Вопрос задан 11 лет назад

№1:разложите на множители выражение

а)m*(a-2b)-3n*(2b-a)

б)5mx²+10my²-6y²-3x²²

в)x(в степени k-1)+3x(в степени k)-1-3x,где k-натуральное число

№2:Разложите на множители выражение

а)(a+2b)x-2*(x-a)+4(b-1)

б)(x-2)(x-3)-x-1

№3

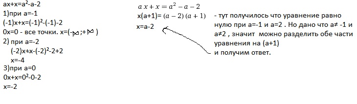
Найдите корень уравнения ax+x=a²-a-2(a-параметр),при a=-1,a=-2,и a=0.Запишите формулу зависимости корней уравнения от параметра а,если a≠ -1 и a≠2

 

 

 

 

 

 

 

 

 

 

 

 

 

 

 

 

 

 

 

 

 

 

 

 

 

Ответы

Ответ дал: sveta1308
0

m*(a-2b)-3n*(2b-a)=(2b-a)-3nm

5mx²+10my²-6y²-3x²=x^2(5m-3)+2y^2(5m-3)=(5m-3)+2x^2y^2

x(в степени k-1)+3x(в степени k)-1-3x= x(в степени k-1)(1=3)-3x

(a+2b)x-2*(x-a)+4(b-1)=ax+2bx-2x+2a+4b-4

(x-2)(x-3)-x-1=x^2-3x-2x-6-x-1=x^2-6x-7

 

 

 

 

 

 

 

 

Ответ дал: rokfeller007
0

m*(a-2b)-3n*(2b-a)=m*(a-2b)+3n*(a-2b)=(a-2b)(m+3n)

5mx²+10my²-6y²-3x²=x^2(5m-3)+2y^2(5m-3)=(5m-3)(x^2+2y^2)

x^{k-1}+3x^k-1-3x=x^{k-1}-1+3x*x^{k-1}-3x=\x^{k-1}-1+3x(x^{k-1}-1)=(x^{k-1}-1)(1+3x)

 
Приложения:
Вас заинтересует