B11. ЕГЭ МАТЕМАТИКА. ПОМОГИИИТЕ!
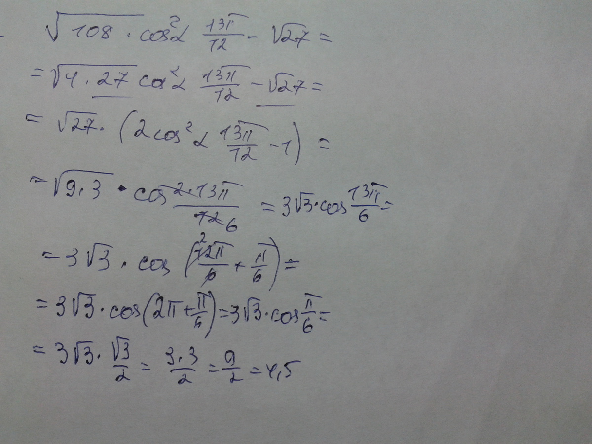
Квадратный корень из 108 умножить на cos^2 13п/12 - квадратный корень из 27. Найти значение выражения.
Ответы
Ответ дал:
8
Решение смотри во вложении.
Приложения:

Вас заинтересует
2 года назад
2 года назад
2 года назад
2 года назад
7 лет назад
7 лет назад